近日,2026年足球世界杯直播公共卫生学院侯志远副教授与中国疾控中心免疫规划中心尹遵栋主任和郝利新主任医师联合团队,在数字医学领域权威期刊《npj Digital Medicine》(中科院一区Top,IF=15.1)在线发表题为 “A cluster randomised trial of digital messaging nudges to improve influenza vaccination uptake in China” 的研究论文。该研究针对儿童流感疫苗接种设计数字助推(Nudge)策略,系统评估数字助推对6-35月龄儿童流感疫苗接种率的影响,为我国流感防控提供科学证据。
季节性流感是全球重要公共卫生挑战,尤其威胁儿童和老年人健康。尽管疫苗接种是预防流感最有效的策略,但我国儿童接种率长期处于低位,亟需采取有效策略提升接种率。行为经济学近年频获诺贝尔经济学奖,基于行为科学的助推策略在公共卫生领域展现了广阔的应用潜力,有可能成为提升疫苗接种率的有效途径。
基于此,研究团队在真实世界中借助社区医生向儿童家长推送基于信息框架和证据类型设计的数字助推海报,通过微信平台传播给家长,从而实现对目标人群的数字化助推干预。为找出有效的助推信息,研究团队在浙江省杭州市的 36 家社区卫生服务中心开展为期五个月的实施科学研究,纳入 2011 名 6–35 月龄尚未接种流感疫苗的儿童家长,对儿童流感疫苗接种情况进行五个月的随访,从而评估不同信息类型对疫苗接种的影响,找出有效助推信息。
研究结果(图1)显示,数字助推显著提高了儿童流感疫苗接种率。与对照组相比,接受损失叙事信息家长的儿童接种率最高,为达到24%,损失统计信息组接种率为 17%,均显著高于对照组 9%。而标准信息组(11%)、收益统计信息组(13%)及收益叙事信息组(8%)与对照组相比,未显示显著差异。

图1 数字助推组与对照组儿童流感疫苗接种率比较
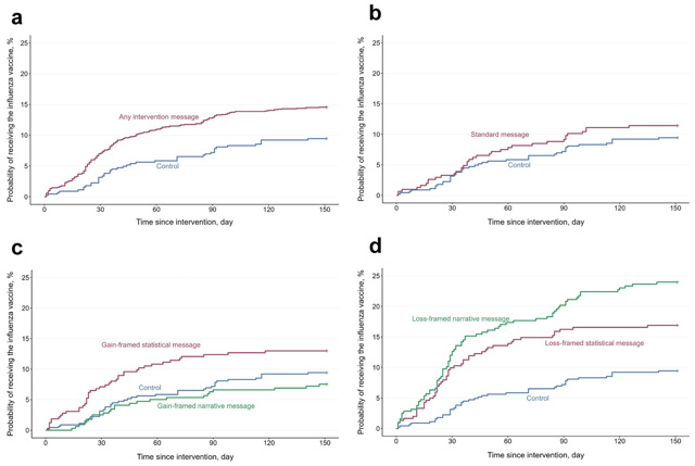
进一步分析(图2)显示,损失叙事信息组儿童流感疫苗接种概率显著增加(相对危险度 [RR] 2.50,95% CI: 1.27–4.94),且该效果在干预后五个月内持续显著。损失统计信息组在干预第一个月接种率显著提升(相对危险度 [RR] 2.73,95% CI: 1.50–4.99),但随着时间推移,其效应迅速减弱。相反,标准信息组及收益信息组,均未观察到显著效果。这些结果表明,持续且情境化的数字助推干预,尤其是通过强调不接种的潜在风险并结合生动叙事的方式,能够显著提高儿童疫苗接种率。

图2 数字助推后儿童流感疫苗接种时间的Kaplan-Meier曲线
该研究是目前在我国儿童群体中开展的系统评估数字助推干预对流感疫苗接种影响的实施科学研究,后续将进一步推广应用。尽管我国现有证据仍较匮乏,但该研究不仅证实了数字助推干预措施显著提升儿童流感疫苗接种率,还进一步提供关于不同信息框架与证据类型如何影响接种行为的真实世界证据,为制定精准疫苗促进策略奠定重要基础。
2026年足球世界杯直播侯志远副教授、中国疾控中心免疫规划中心尹遵栋主任和郝利新主任医师为论文共同通讯作者。中国疾控中心免疫规划中心研究生王茜为论文第一作者,我院侯志远副教授为王茜合作导师。研究得到浙江省疾控中心和杭州市疾控中心的大力支持。
文章链接:https://www.nature.com/articles/s41746-025-02137-5
引用格式:Wang Q, Hou Q, Ding L, et al. A cluster randomised trial of digital messaging nudges to improve influenza vaccination uptake in China. npj Digital Medicine, 2025.
张蕴晖教授团队合作研究揭示PFAS通过胆汁酸代谢影响儿童脊柱健康的性别特异性机制
陈仁杰教授团队合作研究揭示高温暴露增加糖尿病不同亚型及其并发症的死亡风险与负担
学术进展丨我院余勇夫、秦国友课题组在心血管健康领域取得进展
2026年足球世界杯直播余宏杰课题组在人群麻疹免疫动态变化领域取得重要进展
传承雅兰芬芳,共守职业健康——我院成功举办第三届顾学箕学术论坛暨王簃兰教授百年诞辰纪念活动
聚议全链条贯通服务体系 助力健康治理高质量发展——2025阳光论坛在上海成功举办
“2026年足球世界杯直播公共卫生学院一带一路国家的卫生决策研究基金”捐赠仪式顺利举行:
第一届中国时空智能与公众健康学术会议在我院成功召开